Oleh admin Diposting pada 8 Maret 2021 28 Mei 2021. Keberagaman Suku Agama Ras dan Antargolongan dalam Bingkai Bhinneka.

Soal Pkn Kelas 7 Bab 1 Guru Galeri
23Semoga soal latihan pilihan ganda tadi dapat dimanfaatkan dengan baik sebagai bahan belajar para siswa di rumah.
Latihan soal pkn kelas 7 bab 5. 1Latihan soal sesuai dengan kompetensi dasar materi PPKn kelas 7 bab 4 yang mencakup Menghormati keberagaman norma- norma suku agama ras dan antar golongan dalam bingkai Bhinneka Tunggal Ika sebagai sesama ciptaan Tuhan. 21Download Soal dan Pembahasan PKn UKK PAT SMP Kelas 7 Kurikulum 2013 Ulangan Kenaikan Kelas UKK atau Penilaian Akhir Tahun PAT semester genap tahun pelajaran 20192020 akan terasa sangat berbeda sejak dihentikannya KBM karena pandemi virus corona COVID-19Tentu saja hal ini akan berpengaruh kepada hasil belajar siswa-siswa sekalipun adanya kelas daring atau. 21Latihan Soal PPKN Kelas 7 Bab 5.
PKn Tema 6 SD Kelas 5. Hak dan Kewajiban Warga Negara - PPKn SD Kelas 5. Makna NKRI menurut Undang-Undang Dasar Negara Republik Indonesia 1945 Pasal 1 ayat 1 adalah.
Yuk kita mulai cobalah isi soal dibawah ini. Kalau siap yuk kita mulai. 10Materi pelajaran PPKn kelas 7 SMP MTs semester 2 bab 6 tentang Daerah dalam kerangka negara kesatuan republik Indonesia pada post ini akan kita lanjutkan lagi latihan soalnya yaitu ke sub bab pertama bagian kedua yaitu Pengertian Daerah dalam.
Perlawanan Rakyat di Bali dipimpin oleh I Gusti Ketut Jelantik. 27Latihan Soal PKN Kelas 7 Bab 6. 21Artikel ini akan membahas beberapa Soal PKN Kelas 7 lengkap dengan jawabannya untuk tahun ajaran 2020-2021 berdasarkan kurikulum 2013.
28Semua Soal PKn SD MI. PKn Tema 5 SD Kelas 5. Soal pkn kelas 7 bab 1 soal pkn kelas 7 bab 5 beserta jawabannya soal pkn kelas 7 semester 1 soal pkn kelas 7 semester 1 dan kunci jawaban.
Cipta rasa dan nafsu. Soal pkn kelas 7 bab 5 beserta jawabannya. Pada bagian pertama sebelumnya kita telah berlatih soal bab 4 tentang Semangat Kebangkitan Nasional Tahun 1908 yaitu untuk sub bab Arti dan Makna Sumpah Pemuda.
Pada kesempatan ini kita akan mencoba latihan soal PKN Kelas 7 Bab 4 nih. Soal Latihan PKN SMP Kelas 7 Kurikulum 2013 Bab 4 Bab V Daerah Tempat Tinggalku Negara Kesatuan Republik. 26Latihan Soal Bab 5 Kerjasama Dalam Beragai Bidang Kehidupan-PPKn K-13 Kelebihan manusia dibanding makluk ciptaan tuhan lainnya yaitu manusia memiliki.
Keragaman Sosial dan Budaya di Indonesia - PPKn SD Kelas 5. Pada kesempatan sebelumnya Admin telah membagikan artikel tentang Bab 4. PPKn Tema 5 SD Kelas 5.
Kalau siap yuk kita mulai. 1Hai Sahabat Soal Point selamat datang kembali di blog Soal Point Net. PPKn Tema 7 SD Kelas 5.
Pada kesempatan ini kita akan mencoba latihan soal PKN Kelas 7 Bab 6 nih. Sistem kekerabatan menjadi salah satu ciri mendasar yang membedakan suku bangsa satu dengan lainnya. Pada post kali ini kita lanjutkan latihan soal mapel PPKn kelas 8 SMP MTs Bab 5 tentang Sumpah Pemuda dalam Bingkai Bhinneka Tunggal Ika.
8Berikut ini contoh Soal Latihan PAT UKK PPKn PKn Kelas 7 SMP Kurikulum 2013. Pilihlah salah satu jawaban yang dianggap paling benar. Semoga kunci jawaban tema 7 kelas 5 mapel PPKN tadi juga dapat memudahkan orang tua dalam mengoreksi jawaban siswa ya.
Keragaman Sosial Budaya - PPKn SD Kelas 5. 16Soal Latihan PKN SMP Kelas 7 Kurikulum 2013 Bab 5 Soal PKN Kelas 7 ini merupakan soal PKN pada pembahasan Bab V Daerah Tempat Tinggalku Negara Kesatuan Republik Indonesia NegarakuSangat bermanfaat untuk uji kompetensi siswa. Bab ini merupakan bab kedua yang diajarkan pada semester kedua ini setelah sebelumnya kita berlatih soal pada bab keberagaman dalam kebhinekaan.
Preview this quiz on Quizizz. 3Rangkuman Materi PPKN Kelas 7 Bab 5. Latihan Soal Bab Kerjasama PKn Kelas 7.
11Soal PPKn Kelas 7 SMP MTs semester kedua genap pada bab 5 yaitu Kerjasama dalam berbagai Bidang kehidupan. Pada kesempatan kali ini Admin Desi hendak membagikan latihan soal PPKN Kelas 7 Bab 5. Latihan soal ini untuk melatih pemahaman kalian pada materi yang telah kalian pelajari.
Halo adik adik pada kesempatan kali ini Admin hendak membagikan artikel untuk mata pelajaran Kewarganegaraan mata pelajaran ini merupakan mata pelajaran wajib yang harus di kuasai. Soal Pkn Kelas 7. PPKn Tema 9 Subtema 1 SD Kelas 5 KD 34.
26Latihan Soal PKN Kelas 7 Bab 4. Perlawanan Rakyat di Maluku dipimpin oleh Sultan Hassanudin. PPKn Tema 8 SD Kelas 5.
Contoh Soal Pkn Kelas 7 Berikut ini contoh Soal Latihan PAT UKK PPKn PKn Kelas 7 SMP Kurikulum 2013 Pilihan Ganda Pilihlah salah satu jawaban yang dianggap paling benar.

Soal Pkn Kelas 5 Sd 2019 Lengkap Dengan Kunci Jawabannya

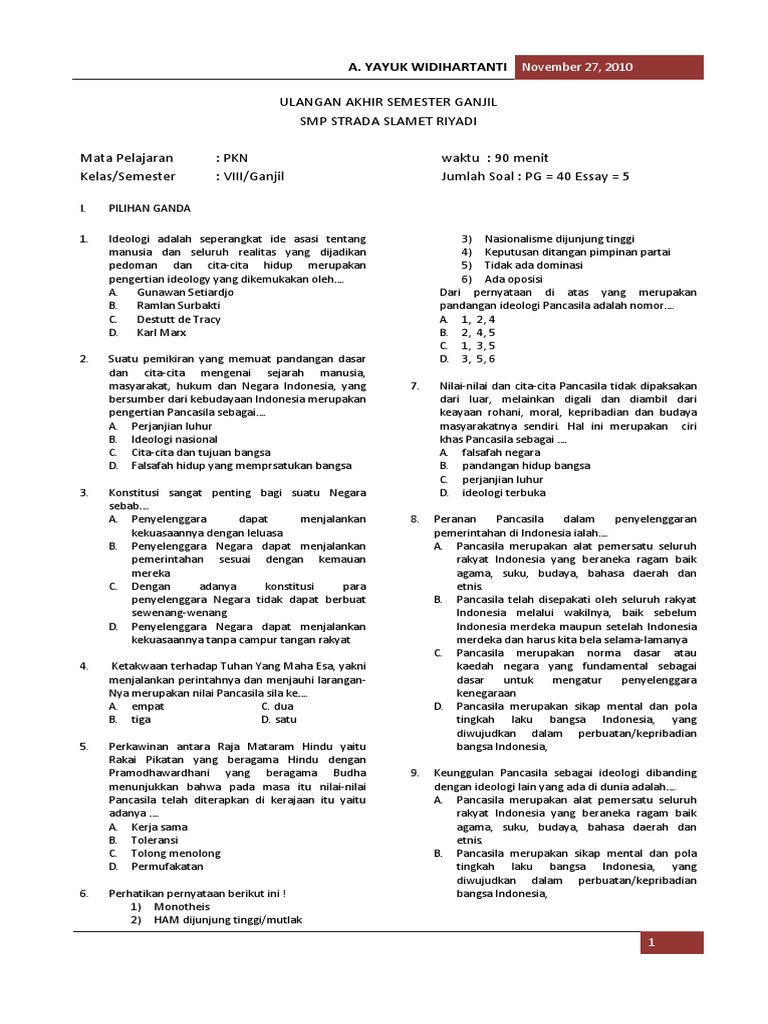
Kisi Kisi Soal Dan Kunci Jawaban Ppkn Smp Kelas 7 Pas Semester Ganjil Didno76 Com

Top Soal Pkn Kelas 2 Sd Tentang Pengamalan Pancasila

Soal Pkn Kelas 9 Kurikulum 2013 Guru Galeri
Soal Pkn Kelas 6 Semester 1 Bab 2 Guru Galeri

Latihan Soal Uas Pas Ganjil Ppkn Kelas 7 Smp Mts Tahun 2020 2021 Ahzaa Net

Kumpulan Soal Pkn Smp Kelas 7 Semester 1 Didno76 Com

Pelajaran Pkn Kelas 5 Sd Siswapelajar Com
Soal Pkn Smp Kelas 7 Semester 1 Dan Kunci Jawaban Guru Galeri

Comments
Post a Comment